Silicon Based Quantum Computer

Introduction

Silicon-based nuclear spin QC, which is also known as Kane’s Computer [1], enables the control and detection of nuclear spins individually in a scalable environment.
Illustration of Kane's QC.

Figure 1: Illustration of Kane’s QC.

It makes use of the hyper-fine interaction between electron spin and nuclear spin. It is based on electronic devices for both generating and detecting nuclear spin polarization. There are a couple of externally applied fields: B aligns the nuclear spin along \(z\)-axis, and \({\bf B_{AC}}\) rotates the nuclear spin in the desired direction. The dynamics are controlled by two types of gates: A-Gates control the density of the electrons at the nucleus center, therefore controls the hyper-fine interaction, and J-Gates control the interactions of adjacent qubits. Each \({}^{31}P^+\) nucleus serves as a qubit. The orientation of the nuclear spin is controlled through the electron gas via the hyper-fine interaction. The hyper-fine interaction is proportional to the probability density of the electron at the nucleus. The probability density of the electron is controlled by the voltage on \(A\)-Gate, therefore the resonance frequency of the nuclear spin can be adjusted. If \({\bf B_{AC}}\) matches this frequency, then the spin of each individual nucleus can be rotated. The measurement is implemented by probing the capacitance between adjacent gates. Using the capacitance measurement, one can calculate the electron orbital wave function; which, in turn, dictates the nuclear spin polarization due to the hyper-fine coupling. Therefore, the qubit states can be inferred via the measured capacity.

Single qubit operations

The Hamiltonian of \(P\) atom is given by

\[\begin{equation} H_0=\mu_B B\sigma_z^e-g_n\mu_n B \sigma_z^n+A{\bf\sigma}_e\cdot{\bf \sigma}_n, \tag{1} \end{equation}\]

where \(\mu_B\) is the Bohr magneton for electron, \(\mu_n\) is the nuclear magneton, \(g_n\) is the nuclear \(g\)-factor, \(A=\frac{8\pi}{3}\mu_B g_n\mu_n |\Psi(0)|^2\), and finally \(\Psi(0)\) is the value of the electron wave function at the origin. If we ignore the interaction between the electrons and the nucleus, i.e. set \(A=0\), the eigenstates would be simply \(|\uparrow\downarrow\rangle\), \(|\uparrow\uparrow\rangle\), \(|\downarrow\downarrow\rangle\) and \(|\downarrow\uparrow\rangle\) with the eigenvalues \(\mu_B B+g_n\mu_n B\), \(\mu_B B-g_n\mu_n B\),\(-\mu_B B+g_n\mu_n B\) and \(-\mu_B B-g_n\mu_n B\), respectively. The figure below shows the levels and the corresponding eigenstates.

Energy levels for $A =  0$.

Figure 2: Energy levels for \(A = 0\).

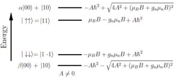
When \(A\neq0\), it is easier to work in the coupled basis, which has the states labeled by the total angular momentum, \(J\), and the \(z\)-component of the total angular momentum, \(J_z\). The coupled eigenstates, \(|j,m_j\rangle\), can be expanded in terms of the individual states, \(|s,m_s\rangle\), as follows: \[\begin{eqnarray} |11\rangle &=&|\uparrow\uparrow\rangle \nonumber \\ |1-1\rangle&=& |\downarrow\downarrow\rangle \nonumber\\ |10\rangle&=& \frac{1}{\sqrt 2}(|\uparrow\downarrow\rangle+|\downarrow\uparrow\rangle)\nonumber\\ |00\rangle &=& \frac{1}{\sqrt 2}(|\uparrow\downarrow\rangle-|\downarrow\uparrow\rangle), \tag{2} \end{eqnarray}\] where we suppress the spin \(s\) on the right hand side since it is \(1/2\) for all cases. The usual method to deal with \(\vec{\sigma}_e\cdot\vec{\sigma}_n\) is to express it in terms of the operators of the coupled basis: \[\begin{eqnarray} \vec{\sigma}_e\cdot\vec{\sigma}_n&=&4 \vec{S}_e\cdot\vec{S}_n= 2 (\vec{S}_e+\vec{S}_n)^2-2(\vec{S}_e^2+\vec{S}_n^2)\nonumber\\ &=&2 (\vec{J}^2-\frac{3 \hbar^2}{2}), \tag{3} \end{eqnarray}\] where we defined \(\vec{S}_e+\vec{S}_n=\vec{J}\) and used \(\vec{S}_e^2=\vec{S}_n^2=\hbar^2 s(s+1)=\frac{3\hbar^2}{4}\), since \(s=1/2\). Now it is easy to see that the first two states in Eq. (2) are eigenstates of the full Hamiltonian since they have definite \(m_j\) values and \(m_s\) values simultaneously. One can check explicitly: \[\begin{eqnarray} H_0|11\rangle&=& (\mu_B B\sigma_z^e-g_n\mu_n B \sigma_z^n+A\vec{\sigma}_e\cdot\vec{\sigma}_n)|11\rangle\nonumber\\ &=&(\mu_B B\sigma_z^e-g_n\mu_n B \sigma_z^n)|\uparrow\uparrow\rangle\nonumber\\ &+&2 A(\vec{J}^2-\frac{3 \hbar^2}{2})|11\rangle\nonumber\\ &=&(\mu_B B-g_n\mu_n B+A\hbar^2)|11\rangle \tag{4} \end{eqnarray}\] where we used \(\vec{J}^2|11\rangle=\hbar^2 j(j+1)|11\rangle=2\hbar^2|11\rangle\). Similarly: \[\begin{eqnarray} H_0|1-1\rangle &=&(\mu_B B\sigma_z^e-g_n\mu_n B \sigma_z^n)|\downarrow\downarrow\rangle\nonumber\\ &+& 2 A(\vec{J}^2-\frac{3 \hbar^2}{2})|1-1\rangle\nonumber\\ &=&(-\mu_B B+g_n\mu_n B+A\hbar^2)|1-1\rangle. \tag{5} \end{eqnarray}\] Therefore \(|1\pm1\rangle\) are eigenfunctions of \(H_0\) with eigenvalues \(\pm(\mu_B B-g_n\mu_n B)+A\hbar^2\). We need two more eigenstates, which will be certain linear combinations of \(|00\rangle\) and \(|1 0\rangle\). We first note the following property: \[\begin{eqnarray} \sigma_z^e|00\rangle&=& \frac{1}{\sqrt 2}\sigma_z^e(|\uparrow\downarrow\rangle-|\downarrow\uparrow\rangle)=|10\rangle\nonumber\\ \sigma_z^e |10\rangle&=& \frac{1}{\sqrt 2}\sigma_z^e(|\uparrow\downarrow\rangle+|\downarrow\uparrow\rangle)=|00\rangle\nonumber \\ \sigma_z^n|00\rangle &=& \frac{1}{\sqrt 2\sigma_z^n}(|\uparrow\downarrow\rangle-|\downarrow\uparrow\rangle)=-|10\rangle \nonumber\\ \sigma_z^n |10\rangle&=&\frac{1}{\sqrt 2} \sigma_z^n(|\uparrow\downarrow\rangle+|\downarrow\uparrow\rangle)=-|00\rangle \tag{6} \end{eqnarray}\] Using these flipping properties, we can write the Schrodinger equation for \(|00\rangle\) and \(|10\rangle\) in the matrix form: \[\begin{equation} H_0 \left[ \begin{array}{c} |00\rangle \\ |10\rangle \\ \end{array} \right] =\left[ \begin{array}{cc} -3 A\hbar^2 & \mu_B B+g_n\mu_n B\\ \mu_B B+g_n\mu_n B& A\hbar^2 \\ \end{array} \right]\left[ \begin{array}{c} |00\rangle \\ |10\rangle \\ \end{array} \right] \tag{7} \end{equation}\] The eigenstates of the matrix above are \[\begin{eqnarray} |E_1\rangle&=& \left(\alpha|00\rangle+|10\rangle\right)/N_1,\nonumber\\ |E_2\rangle&=& \left(\beta|00\rangle+|10\rangle\right)/N_2, \tag{8} \end{eqnarray}\] and the corresponding eigenvalues are \[\begin{eqnarray} E_1&=&-A\hbar^2+\sqrt{4 A^2+(\mu_B B+g_n\mu_n B)^2}\nonumber\\ E_2&=& -A\hbar^2-\sqrt{4 A^2+(\mu_B B+g_n\mu_n B)^2}, \tag{9} \end{eqnarray}\] where \(\alpha=-\frac{2A+\sqrt{4 A^2+(\mu_B B+g_n\mu_n B)^2}}{\mu_B B+g_n\mu_n B}\), \(\beta=-\frac{2A-\sqrt{4 A^2+(\mu_B B+g_n\mu_n B)^2}}{\mu_B B+g_n\mu_n B}\) and \(N_1\), \(N_2\) are normalization constants. Let’s show these eigen states and values on a plot:

Energy levels for $A \neq 0$.

Figure 3: Energy levels for \(A \neq 0\).

The energy splitting between the ground state and the first excited state can be read from the figure. If we expand this splitting at the second order in \(A\) we get \[\begin{equation} \hbar w_A=2A\hbar^2+2 g_n\mu_n B+\frac{ 2 A^2\hbar^4}{\mu_B B}, \tag{10} \end{equation}\] where we dropped the \(g_n\mu_n B\) term since it is small compared to \(\mu_B B\). Furthermore the ground state at the first order in \(A\) becomes \[\begin{equation} |0\rangle\simeq |\downarrow\uparrow\rangle-\frac{2 A\hbar^2}{\mu_B B}|\uparrow\downarrow\rangle, \tag{11} \end{equation}\] where we omit the normalization for simplicity. One can also see from the figure that the first excited state is \(|\downarrow\downarrow\rangle\). Note that the energy splitting between the bottom two and the top two states is dominated by the energy cost of flipping the spin of the electron; therefore, the splitting is approximately \(2\mu_B B.\) If the temperature of the system is low enough, the top two states will decouple from the spectrum since the system will not have enough energy to transition from the ground state or the first excited state to these higher energy levels. Therefore, the only states at this energy scale are the ground and the first excited states. Furthermore, as shown in the figure above, in the ground state, the spin of the electron is dominantly \(\downarrow\), and it is also \(\downarrow\) for the first excited state. Therefore the energy levels are simply labeled by the spin state of the nucleus.

To quickly summarize, we have the two lowest energy eigenstates approximately given as: \[\begin{equation} |0\rangle\simeq |\uparrow\rangle, \;\;\; |1\rangle\simeq |\downarrow\rangle, \tag{12} \end{equation}\] where the arrows show the spin state of the nucleus. The corresponding energy levels are: \[\begin{eqnarray} E_0&\simeq& -A\hbar^2- \mu_B B-g_n\mu_n B-\frac{2 A^2\hbar^4}{\mu_B B}\nonumber\\ E_1&=& A\hbar^2-\mu_B B+g_n\mu_n B, \tag{13} \end{eqnarray}\] which can be rewritten as \[\begin{eqnarray} %\nonumber to remove numbering (before each equation) E_0&\simeq& - \mu_B B -\frac{ A^2\hbar^4}{\mu_B B}-(A\hbar^2 +g_n\mu_n B+\frac{ A^2\hbar^4}{\mu_B B})\nonumber\\ E_1&=& - \mu_B B -\frac{ A^2\hbar^4}{\mu_B B}+(A\hbar^2 +g_n\mu_n B+\frac{ A^2\hbar^4}{\mu_B B}). \tag{14} \end{eqnarray}\] Since the energy of a system can be measured with respect to any reference level, we can measure the energy with respect to \(E_{ref}\equiv - \mu_B B -\frac{ A^2\hbar^4}{\mu_B B}\). This simplifies Eq. (14) to \[\begin{eqnarray}\label{eigenvalues coupled 3} %\nonumber to remove numbering (before each equation) E_0&\simeq& -(A\hbar^2 +g_n\mu_n B+\frac{ A^2\hbar^4}{\mu_B B})\equiv-\frac{\hbar}{2} w_0\nonumber\\ E_1&=& (A\hbar^2 +g_n\mu_n B+\frac{ A^2\hbar^4}{\mu_B B})\equiv\frac{\hbar}{2} w_0, \tag{15} \end{eqnarray}\] where we defined \(w_0=2(A\hbar^2 +g_n\mu_n B+\frac{A^2\hbar^4}{\mu_B B})\). This shows that the dynamics of the single qubit is the same as a spin \(1/2\) particle in an external magnetic field, which is exactly the set up we considered at NRM QC and showed that all single qubit operations are possible. Next we discuss the qubit-qubit interaction.

Two-qubit operations

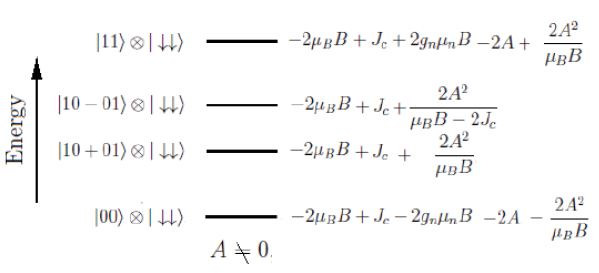
The interaction between two qubits, which is due to the interaction of the electrons, can be described by the Hamiltonian \[\begin{equation} H_{int}=J_c {\bf \sigma}^{1e}\cdot {\bf \sigma}^{2e}. \tag{16} \end{equation}\] In principle, there is also an interaction between the nuclear spin of the first qubit and the electron spin of the second qubit (and vice versa), which is of the form \(A_1 {\bf \sigma}^{1n}\cdot {\bf \sigma}^{2e}+A_2 {\bf \sigma}^{2n}\cdot {\bf \sigma}^{1e}\). This interaction is proportional to the value of the wave function of the first electron at the second nucleus (and vice versa). However, if the separation of nuclei is large enough, the exponentially decaying wave function of the electron will have a small value at the neighboring nucleus. Therefore, such interactions are ignored. The electron-electron interaction, on the other hand, is much stronger since electron wave functions can have significant overlap. The strength of the interaction is parameterized by \(J_c\) \[\begin{equation} J_c(R)\simeq0.4 \frac{e^2}{\epsilon \,a_B} \left(\frac{R}{a_B}\right)^{5/2} exp \left(\frac{-2 R}{a_B}\right), \tag{17} \end{equation}\] where \(R\) is the separation of the nuclei, \(\epsilon\) is the dielectric constant of the semiconductor and \(a_B\) is the Bohr radius in the semiconductor. Combining the interaction Hamiltonian with the single qubit Hamiltonian in Eq. (1), we get the full Hamiltonian as \[\begin{eqnarray} H&=&\mu_B B(\sigma_z^{1e}+\sigma_z^{2e})-g_n\mu_n B (\sigma_z^{1n}+\sigma_z^{2n})+J_c {\bf \sigma}^{1e}\cdot {\bf \sigma}^{2e}\nonumber\\ &+&A_1{\bf\sigma}^{1e}\cdot {\bf\sigma}^{1n}+A_2{\bf\sigma}^{2e}\cdot {\bf\sigma}^{2n}. \tag{18} \end{eqnarray}\] We will treat the first line as the background Hamiltonian and the second line as the perturbation. Let us first consider the ground state of the electrons without the perturbation. The ground state of the electrons will be either \(|\downarrow\downarrow\rangle\) or the spin singlet \(|sing\rangle\equiv|\uparrow\downarrow\rangle-|\downarrow\uparrow\rangle\) depending on the relative strength of \(B\) and \(J_c\). We can calculate the energy for each case as \[\begin{eqnarray} \langle\downarrow\downarrow|H|\downarrow\downarrow\rangle&=&-2\mu_B B+J_c\nonumber\\ \langle sing|H|sing\rangle&=&-3 J_c, \tag{19} \end{eqnarray}\] which shows that if \(J_c<\mu_B B/2\), then the electron ground state is \(|\downarrow\downarrow\rangle\) with the energy \(-2\mu_B B+J_c\). After fixing the electron ground state, we can now include the levels of the nuclei. The levels will be ordered by the eigenstates of \(\sigma_z^{1n}+\sigma_z^{2n}\), which can be \(-2,0\) and \(2\). We also note that \(0\) eigenvalue is double degenerate. Therefore the states are \(|00\rangle\otimes|\downarrow\downarrow\rangle\), \(|10-01\rangle\otimes|\downarrow\downarrow\rangle\), \(|10+01\rangle\otimes|\downarrow\downarrow\rangle\) and \(|11\rangle\otimes|\downarrow\downarrow\rangle\) with the energies \(-2\mu_B B+J_c-2 g_n \mu_n B\), \(-2\mu_B B+J_c\), \(-2\mu_B B\) and \(-2\mu_B B+J_c+2 g_n \mu_n B\), respectively. The eigen states and the corresponding energy values are depicted in the figure below. In this notation, we reserve \(\uparrow\downarrow\) for electron states and \(0\) for nuclear spin up and \(1\) for nuclear spin down.

Energy levels for $A = 0$ with coupling.

Figure 4: Energy levels for \(A = 0\) with coupling.

On top of this background solution, we now turn on \(A_1\) and \(A_2\) terms, and we consider the case \(A_1=A_2=A\) for simplicity. The perturbing Hamiltonian is \[\begin{equation} H_p=A({\bf\sigma}^{1e}\cdot {\bf\sigma}^{1n}+{\bf\sigma}^{2e}\cdot {\bf\sigma}^{2n}). \tag{20} \end{equation}\] Let’s start with the first order correction to the energy of the state \(|11\rangle\otimes|\downarrow\downarrow\rangle\), which we will refer to as \(E_{top}^{(1)}\). \[\begin{equation} E_{top}^{(1)}=\langle 11|\otimes|\downarrow\downarrow|H_p|11\rangle\otimes|\downarrow\downarrow\rangle =-2 A \tag{21} \end{equation}\] And the first order correction to the state \(|00\rangle\otimes|\downarrow\downarrow\rangle\), which we will refer to as \(E_{ground}^{(1)}\), is \[\begin{equation} E_{ground}^{(1)}=\langle 00|\otimes|\downarrow\downarrow|H_p|00\rangle\otimes|\downarrow\downarrow\rangle =-2 A. \tag{22} \end{equation}\] The middle states will get no correction at the first order in \(A\) due to cancellation of two terms.

Now we move to the second order corrections. The second order correction to the energy of the top state is \[\begin{eqnarray} E_{top}^{(2)}&=&\sum_{kl,mn\neq 11,\downarrow\downarrow} \frac{\langle 11\rangle\otimes|\downarrow\downarrow|H_p|kl,mn\rangle\langle kl,mn|H_p|11\rangle\otimes|\downarrow\downarrow\rangle} {E^{(0)}_{kl,mn }-E^{(0)}_{11,\downarrow\downarrow }}\nonumber\\ &=&\frac{2 A^2}{\mu_B B}, \tag{23} \end{eqnarray}\]

where \(k\), \(l\) run over \(0,1\) and \(m\), \(n\) run over \(\uparrow,\downarrow\) scanning all the states except \(|11\rangle\otimes|\downarrow\downarrow\rangle\). Only \(|kl,mn\rangle=|10\rangle\otimes|\uparrow\downarrow\rangle\) gives a non-vanishing contribution to the sum. Repeating the same steps for the bottom level gives \[\begin{eqnarray} E_{bottom}^{(2)}&=&-\frac{2 A^2}{\mu_B B}. \tag{24} \end{eqnarray}\] Let us now consider the second order correction to the state \(|10-01\rangle\otimes|\downarrow\downarrow\rangle\), which we will refer to as \(E_{sing}^{(2)}\) \[\begin{eqnarray} E_{sing}^{(2)}&=&\sum_{kl,mn\neq sing} \frac{\langle 10-01|\otimes|\downarrow\downarrow|H_p|kl,mn\rangle\langle kl,mn|H_p|10-01\rangle\otimes|\downarrow\downarrow\rangle} {E^{(0)}_{kl,mn }-E_{sing}^{(0)} }\nonumber\\ &=&\frac{2 A^2}{\mu_B B-2 J_c}, \tag{25} \end{eqnarray}\] where the only contribution comes from \(|00\rangle\otimes|\uparrow\downarrow-\downarrow\uparrow\rangle\). Finally the second order correction to the state \(|10+01\rangle\otimes|\downarrow\downarrow\rangle\), which we will refer to as \(E_{trip}^{(2)}\) is \[\begin{eqnarray} E_{trip}^{(2)} &=&\frac{2 A^2}{\mu_B B}, \tag{26} \end{eqnarray}\] where the only contribution comes from \(|00\rangle\otimes|\uparrow\downarrow+\downarrow\uparrow\rangle\). The figure shows the energy levels when the perturbation is included.

Energy levels at the second order for $A \neq  0$ with coupling.

Figure 5: Energy levels at the second order for \(A \neq 0\) with coupling.

We had to go through detailed derivation of energy eigenstates and the corresponding energy values because they are critical parts of the measurement, which will be discussed next.

Measurement

Computation is done when \(J_c<\mu_B B/2\) for which the electrons are in the \(|\downarrow\downarrow\rangle\) state. After the computation \(J_c\) is adiabatically increased. The evolution of the states are shown in the figure. Lowest two states evolve in to \(|\uparrow\downarrow-\downarrow\uparrow\rangle\), whereas the upper two evolve into \(|\downarrow\downarrow\rangle\). The state of the electrons can be detected by a capacitance measurement between to adjacent \(A\)-gates.

Evolution of the states under adiabatic change of $J_c$

Figure 6: Evolution of the states under adiabatic change of \(J_c\)

[1]
B. E. Kane, “A silicon-based nuclear spin quantum computer,” Nature, vol. 393, pp. 133–137, 1998 [Online]. Available: https://www.nature.com/articles/30156.pdf

Related